
Физика ЕГЭ 2021 Демоверсия Решение задания 3
3. Тело движется в инерциальной системе отсчёта по прямой в одном направлении под действием постоянной силы величиной 5 Н. За 4 с импульс тела увеличился и стал равен 35 кг · м/с. Чему был равен первоначальный импульс тела?
Решение:
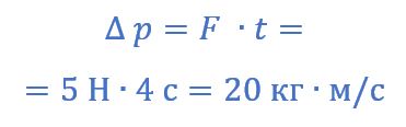
В формулировке задачи идет речь об изменении импульса тела, значит оптимально будет воспользоваться вторым законом Ньютона в импульсной форме

Подставляем значения из условия


Ответ: 15 кг · м/с.
